C57BL/6N加齢マウス
血液生化学解析
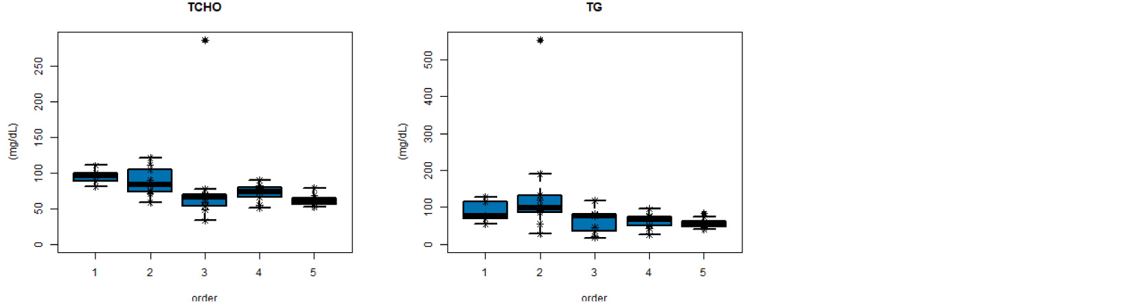
NBRP加齢マウス供給事業で作製したC57BL/6N♂マウスにおいて、 6ヶ月ごと生産する各ロットの24ヶ月齢の血液生化学解析の結果を示した。加齢マウスは日本クレア株式会社石部生育場から理化学研究所バイオリソースセンターマウス表現型解析技術室へ移送し、一週間静置し、日本マウスクリニック検査パイプラインのSOPに則って採血し、測定した。
- 解析マウス数
-
1回目
2023/3/62回目
2023/9/193回目
2024/5/214回目
2024/10/225回目
2025/3/4No. 5 10 10 10 10
測定項目
| Parameters | Explanation |
|---|---|
| LD | Lactate dehydrogenase (IU/L) |
| AST(GOT) | Aspartate aminotransferase ( IU/L ) |
| ALT(GPT) | Alanine aminotransferase (IU/L ) |
| CPK | Creatine kinase (IU/L) |
| ALP | Alkaline phosphatase (IU/L) |
| AMY | Alpha-amylase (IU/L ) |
| TP | Total protein (g/L) |
| ALB | Albumin (g/L) |
| UN | Urea (mg/dL) |
| UA | Uric acid( umol/L ) |
| CRE | Creatinine (mg/dL) |
| Glu | Glucose (mg/dL) |
| T-BIL | Total bilirubin (mg/dL) |
| HDL-C | HDL-cholesterol (mg/dL) |
| LDL-C | LDL-cholesterol (mg/dL) |
| T-CHO | Total cholesterol (mg/dL) |
| TG | Triglycerides (mg/dL) |
| Ca | Calcium (mg/dL) |
| Fe | Iron (mg/dL) |
| IP | Phosphate (mg/dL) |
| HbA1c | Glycosilated hemoglobin A1c (%) |








